Přejít k hlavnímu obsahu

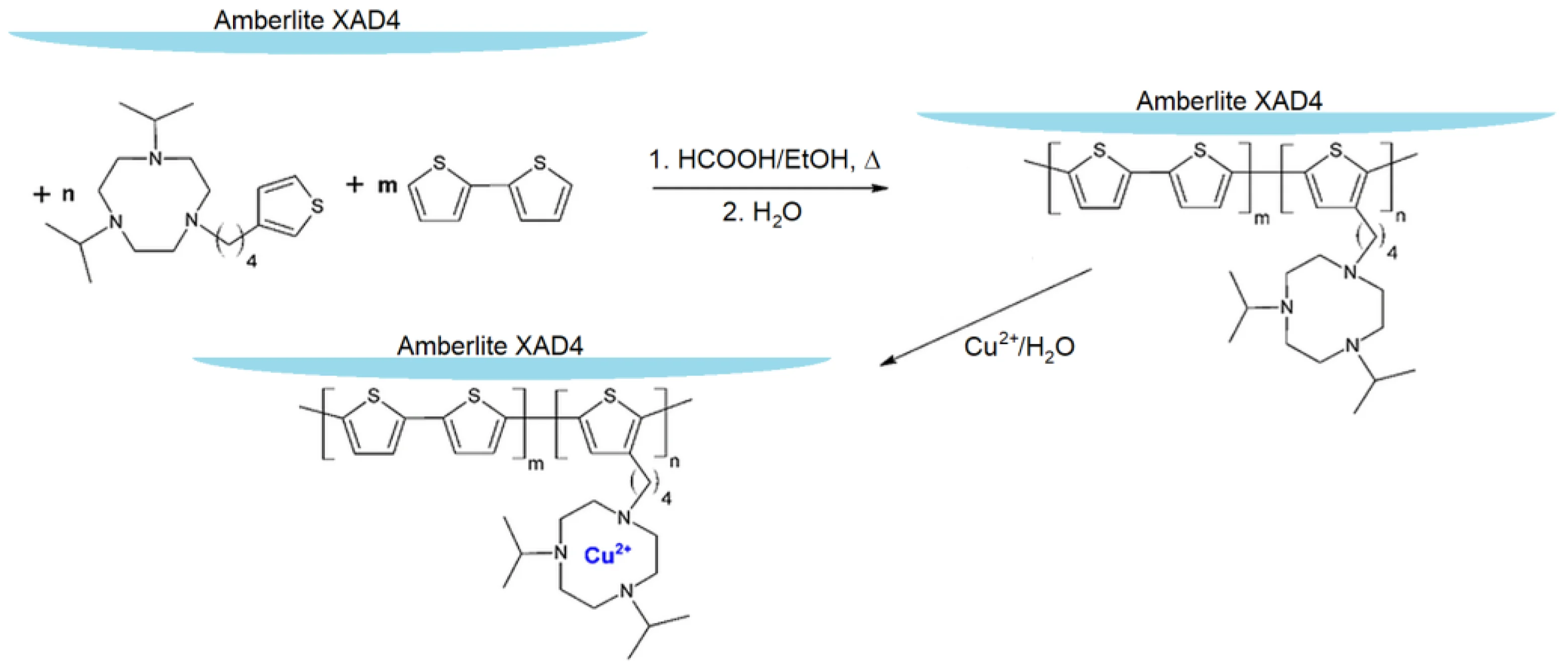
Catalytic Hydrolysis of Paraoxon by Immobilized Copper(II) Complexes of 1,4,7-Triazacyclononane Derivatives

BUZIKOVA, M., H. ZHUKOUSKAYA, E. TOMSIK, M. VETRIK, J. KUCKA, M. HRUBY, J. KOTEK
Catalytic Hydrolysis of Paraoxon by Immobilized Copper(II) Complexes of 1,4,7-Triazacyclononane Derivatives. Polymers. 2024, 16(20), 2911, ISSN: 2073-4360, PMID: 39458739,  PDF.